
进入六月,新学期的进度条也已经过半。大家端午节安康哇w
按照惯例,名校志向塾特别为不同阶段的同学们分别准备了数学挑战问题。想要挑战自我,展现真正技术的小伙伴们速来
自上月起,我们新增了一项候补者资格,具体解释如下:
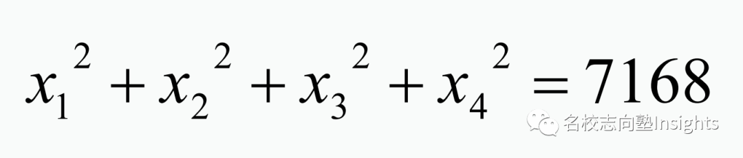
中文版 将编号为1、2、3......的卡片自上而下按数字从小到大的顺序堆放。重复“丢弃最上面的卡片,并将下一张卡片放到卡片堆最底部”的过程。如果卡片的总数为150枚,求最后剩下的卡片的编号。 日文版 1,2,3…と番号を書いたカードが,上から番号の小さい順に重ねてあります。「一番上のカードを捨てて,その次に一番上になったカードを残りのカードの一番下に入れる」という作業を繰り返します。カードの枚数が150枚の時,最後まで残るカードの番号はいくつですか。 中文版 求方程 的所有正整数解 日文版 以上の方程式の全ての正の整数解 そして、 高中组的小伙伴请将解答发送邮件至[email protected]!,且
。
を求めよ。
である。
***注:不同挑战分会场的同学请勿交叉答题!如:✕高中阶段的同学答小学阶段的题✕;✕小学阶段的同学答高中阶段的题✕。